今天為您介紹的是——洗煤廢水處理工藝
隨著我國工農業的逐步發展,冶金、化工、陶瓷、印染、電子工業和選礦等行業每年在生產過程中均會產生大量的含有重金屬離子的廢水及廢渣,若對這些污染物不加以處理而排放,不僅會對環境造成嚴重污染,也會嚴重影響人類健康。鉻通常以三價或六價的化合物存在于環境中,含鉻化合物的價態決定了它的毒性,一般認為Cr(Ⅵ)的毒性是Cr(Ⅲ)的500 倍,且價態不同,其遷移率和生物可利用率也不同。由于鉻對環境和人體的巨大危害,土壤、沉積物、地表水及地下水的鉻污染也越來越受到關注。
去除水中的鉻污染常見的處理方法有離子交換法、吸附法、膜處理技術法、化學沉淀法、電化學法和植物修復等。吸附法因具有高效性、處理成本低、適應性好以及選擇性強等特點而受到環保工作者的青睞。近年來,生物質炭作為一種環保高效的土壤改良劑,被很多國內外學者研究和應用。耿勤等 以玉米、稻殼制成生物質炭研究其對溶液中Cd2 + 的吸附性能,發現玉米秸稈炭和稻殼炭對Cd2 + 的吸附速率均較快,分別在10 min 和20 min 時達到吸附平衡,且反應適應pH 范圍為4. 0 ~ 7. 0,相同條件下,玉米秸稈炭對溶液中Cd2 + 的吸附能力強于稻殼炭。在實際應用中,采用的生物質炭大多數是改性過的,目的是為了改善生物質炭的吸附性能。本實驗將新疆核桃殼在氮氣氛圍下進行炭化,研究氮炭化核桃殼對廢水中Cr(Ⅵ)的吸附作用,并進行初步探討來分析其吸附機理,為氮炭化核桃殼在含Cr(Ⅵ)廢水凈化處理中的應用提供理論依據。
1 材料與方法
1. 1 儀器和試劑
試劑:重鉻酸鉀(GR)、硫酸(AR)、丙酮(AR)、二苯基碳酰二肼(AR)、氫氧化鈉(AR)、磷酸(AR)和鹽酸(AR)等。
主要儀器:箱式氣氛爐(QSH-ABF-1400T 型)、電子分析天平(AB204-N 型)、HACH 分光光度計(DR/2500 型)、pH 計(PHS-3E 型)、數顯測速恒溫搖床(SHZ-82A 型)、全自動氮吸附比表面儀(3H-2000A 智能型)、電子掃描顯微鏡(S-570 型)和傅立葉紅外變換光譜儀(Spectrum one N TS 型)等。
1. 2 吸附劑制備
將洗凈、烘干好的新疆核桃殼置于坩堝中,設定箱式氣氛爐的溫度為400 ℃ ,以大約3 ℃ ·min - 1 的速率在氮氣氛圍中炭化120 min,隨后溫度自然降至室溫,取出后置于干燥器中保存備用。
1. 3 吸附質的配置
稱取于120 ℃ 下干燥2 h 的重鉻酸鉀2. 829 g,溶解于盛水燒杯中,繼而將其移至1 000 mL 的容量瓶中,加水稀釋至標線并搖勻,即得到質量濃度為1 000 mg·L - 1 的Cr(Ⅵ)模擬儲備水樣,本實驗過程中所用到的不同的Cr(Ⅵ)濃度都是由濃度為1 000 mg·L - 1 的溶液進行稀釋而制得。
1. 4 吸附實驗步驟與方法
1. 4. 1 水樣初始pH 值對吸附效果的影響
量取50 mL 的初始濃度為20 mg·L - 1 的Cr(Ⅵ) 水樣分別置于7 個100 mL 的具塞錐形瓶中,采用1 mol·L - 1 的HCl 溶液和1 mol·L - 1 的NaOH 溶液來調節水樣的初始pH 值依次為1. 0、2. 0、3. 0、4. 0、5. 0、6. 0 和7. 0,分別加入氮炭化核桃殼的質量為16 g·L - 1 ,設定搖床的轉速為200 r·min - 1 ,于25 ℃ 下振蕩180 min,測定吸附后的Cr(Ⅵ)的濃度。
1. 4. 2 吸附劑用量對吸附效果的影響
取初始濃度為20 mg·L - 1 的Cr(Ⅵ)水樣50 mL 于100 mL 的具塞錐形瓶中,調節pH 值為2. 0,吸附劑用量分別為2、6、8、10、12、14、16 和20 g· L - 1 ,設定搖床的轉速為200 r· min - 1 ,于25 ℃ 下振蕩180 min,測定吸附后的Cr(Ⅵ)的濃度。
1. 4. 3 吸附時間對吸附效果的影響
量取50 mL 的初始濃度為20 mg·L - 1 的Cr(Ⅵ)水樣置于100 mL 的具塞錐形瓶中,調節水樣的pH值為2. 0,吸附劑投加量為16 g·L - 1 ,25 ℃ 時在200 r·min - 1 的轉速下分別振蕩5、30、60、90、120、150、180 和240 min,取樣測定吸附后的Cr(Ⅵ)的濃度。
1. 4. 4 吸附溫度對吸附效果的影響
取初始濃度為20 mg·L - 1 的Cr(Ⅵ)水樣50 mL 于100 mL 的具塞錐形瓶中,水樣的pH 值為2. 0,吸附劑投加量為16 g·L - 1 ,搖床轉速為200 r·min - 1 ,分別25、35、45、55 和65 ℃ 下振蕩吸附180 min,取樣測定吸附后的Cr(Ⅵ)的濃度。
1. 4. 5 轉速對吸附效果的影響
取初始濃度為20 mg·L - 1 的Cr(Ⅵ)水樣50 mL 于100 mL 的具塞錐形瓶中,水樣的pH 值為2. 0,吸附劑投加量為16 g·L - 1 ,溫度為25 ℃ ,分別在50、100、150、200、250 和300 r·min - 1 下振蕩吸附180 min,取樣測定吸附后的Cr(Ⅵ)的濃度。
1. 4. 6 Cr( Ⅵ) 的吸附平衡實驗
各量取50 mL 初始質量濃度分別為5、20、50、100、150 和200 mg·L - 1 的Cr(Ⅵ)水樣至于具塞錐形瓶中,pH 值調節為2. 0,氮炭化核桃殼投加量16 g·L - 1 ,溫度分別設定為25、35 和45 ℃ ,在200 r·min - 1 的轉速下振蕩吸附12 h 以確保吸附平衡,取樣測定吸附后的Cr(Ⅵ)的濃度。
1. 4. 7 測定方法
將核桃殼和氮炭化核桃殼先進行表面,采用電子掃面顯微鏡來測定其表面結構進行表征,同時利用KBr 壓片法,掃描范圍為400 ~ 4 000 cm - 1 ,選用傅里葉變換紅外光譜儀進行官能團分析。
1. 5 分析方法
采用二苯碳酰二肼分光光度法來測定Cr(Ⅵ) 的濃度。去除率η 計算公式 :
η = (C0 - Ce ) / C0 × 100% (1)
平衡吸附量qe 計算公式 :
qe = (C0 - Ce )V / m (2)
式中:C0 為初始水樣中Cr(Ⅵ)的濃度,mg·L - 1 ;Ce 為吸附平衡后水樣中Cr(Ⅵ)的濃度,mg·L - 1 ;m 為吸附劑質量,g;V 為待處理水樣的體積,L。
2 結果與討論
2. 1 氮炭化前、后核桃殼的表面結構表征
2. 1. 1 SEM 電鏡分析觀測結果
從圖1 中可以看出,核桃殼未炭化前孔隙結構發達,孔形狀為排列整齊的蜂窩狀結構,孔道尺寸分布較為集中且均勻,比表面積為0. 178 m2 ·g - 1 。經氮氣氛圍下炭化后,其外形輪廓變得模糊,基本結構遭到了破壞,但增加了許多的微孔數量,比表面積為71. 325 m2 ·g - 1 ,比表面積的變大使得貫穿到內部的孔隙率更大,因而對Cr(Ⅵ)的吸附效果更好。對于去除Cr(Ⅵ)的機理初步斷定可能是氧化還原機理,因為在強酸性環境下,溶液中存在重鉻酸鉀強氧化性物質,也可能存在表面絡合或靜電吸附機理,可能是其中的一種,或是幾種共同作用的結果,故需進一步分析。


2. 1. 2 紅外光譜分析
由圖2 可知, 核桃殼炭化前, 主要吸收峰有: 3 553. 0 cm - 1 、3 477. 5 cm - 1 、3 415. 0 cm - 1 和3 236. 8 cm - 1 處為O—H 的伸縮振動吸收峰, 1 744. 2 cm - 1 處為醛類C ?? O 的伸縮振動吸收峰,1 617. 7 cm - 1 處為N—H 彎(面內)曲振動吸收峰,619. 5 cm - 1 處為NH2 面外搖振動吸收峰,477. 9 cm - 1 處為C—I 伸縮振動吸收峰;氮炭化核桃殼的紅外掃面產生了新的譜帶,在2 363. 9 cm - 1 處增加了P—H 的伸縮振動吸收峰,C—O 與C—O—C 的伸縮振動吸收峰的疊加發生在1 239. 1 cm - 1 和1 029. 0 cm - 1 處,1 562. 4 cm - 1 處是N—H 彎曲(面內) 振動,O—H 的伸縮振動吸收峰發生了偏移,分別在3 550. 2 cm - 1 、3 475. 5 cm - 1 、3 410. 3 cm - 1 和3 226. 8 cm - 1 處,NH2 面外搖振動吸收峰和C—I 伸縮振動吸收峰也發生了偏移,分別在663. 6 cm - 1 和497. 5 cm - 1 處。與前者相比較,氮炭化后的核桃殼吸收振動峰有一定的變化,說明在氮氣氛圍下炭化后核桃殼化學結構有所改變,從增加的N—H 官能團也可以得出:核桃殼在炭化過程中,N2 也參與了反應地進行。
2. 2 水樣初始pH 值對吸附效果的影響
有研究表明,pH 值的大小會會影響吸附劑表面的活性基團的存在狀態和Cr(Ⅵ)在水中的化學形態,因而對Cr(Ⅵ) 的去除效果影響很大。由圖3可知,當pH < 4. 0 時,新增加的N—H 基團與H3O +相結合,并與Cr(Ⅵ) 發生絡合作用,Cr(Ⅵ) 的去除效果較好,溶液中只存在HCrO4- 陰離子,與炭化核桃殼表面的活性基團更好地結合,故去除率較高,當逐漸增加pH 值時,溶液中Cr(Ⅵ) 存在形態較多,OH - 離子含量逐漸增加,反應體系中存在競爭吸附,故Cr(Ⅵ)的去除率與吸附量急劇下降,當pH = 2. 0時,去除率比較大為99. 1% ,滿足酸度較低時有利于吸附反應的進行。故選擇反應的pH 值為2. 0。


2. 3 吸附劑用量對吸附效果的影響
從圖4 中可以得出,隨著氮炭化核桃殼用量的不斷增加,Cr(Ⅵ)的去除率不斷增大,這可能是因為吸附劑用量較少時,吸附劑表面的活性位點和官能團的數量有限,造成較多的Cr(Ⅵ)不能被吸附,去除率較低,增加吸附劑用量,新增加的N—H 基團使得產生了新的活性位點,吸附效率增強。當吸附劑用量為16 g·L - 1 時,再增加氮炭化核桃殼投加量,去除效果也沒有明顯地變化,趨于穩定狀態,這可能是因為吸附劑用量較多時,顆粒之間發生粘附作用或是表面的活性基團反應時受到了阻力作用而抑制對Cr(Ⅵ)的吸附。故選取吸附劑用量為16 g·L - 1 。
2. 4 吸附時間對吸附效果的影響
有研究成果中顯示,生物質吸附材料吸附金屬離子一般分為2 個階段,即快速階段和慢速階段。
在0 ~ 60 min 內,對于組成成分是纖維素、半纖維素等吸附劑而言,吸附過程主要受Cr(Ⅵ)從溶液到吸附劑顆粒表面擴散的控制,去除效果一般,圖5 中可以看出當t = 60 min 時,Cr(Ⅵ)的去除率為77. 8% ,隨著吸附時間的延長,其去除率與吸附量也逐漸增大。當吸附時間增加至180 min 時,去除率達到99. 1% ,再延長時間,去除率趨于平衡,這可能是因為吸附劑吸附能力達到飽和,也就是說吸附劑表面的活性位點和炭化后所增加的官能團已全部吸附了Cr(Ⅵ)離子,故其去除率不再增加。因此選取吸附時間為180 min。

2. 5 吸附溫度對吸附效果的影響
由圖6 可知,隨著反應溫度的升高,吸附劑對Cr(Ⅵ)的去除率和吸附量都有所增加,且去除率都在90% 以上,說明此吸附過程是吸熱反應,且吸附效果較好。溫度地升高,加劇了Cr(Ⅵ)離子的內擴散和外擴散速率,且其運動時所需要的活化能也得到增加。當溫度為25 ℃ 時, Cr ( Ⅵ ) 的去除率為94. 3% ,再升高溫度,處理Cr(Ⅵ)的運行成本也在不斷增加,且其去除率上升空間只在5% 左右。故考慮到成本的縮減也能夠得到較好的效果,因此選擇反應溫度為25 ℃ 。

2. 6 轉速對吸附效果的影響
從圖7 中可得出,搖床轉速的增加,有利于加大Cr(Ⅵ)離子在溶液中與吸附劑的碰撞機率,使得吸附質與吸附劑表面的活性基團更充分地反應。當轉速從50 r·min - 1 增加至200 r·min - 1 時,Cr(Ⅵ)的去除率呈緩慢增加,轉速大于200 r·min - 1 時,其去除率增加的幅度不明顯,這可能是因為轉速過快時,Cr(Ⅵ)離子的運動頻率也跟著加快,致使吸附質來不及與吸附劑表面的活性位點結合,不利于反應的進行,故選擇搖床的轉速為200 r·min - 1 。
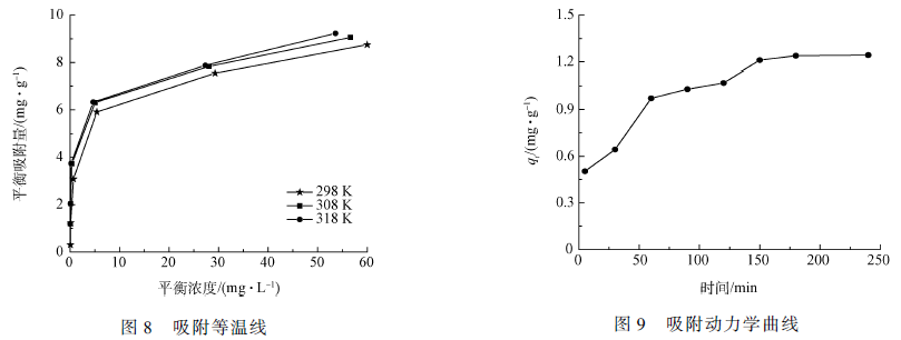
2. 7 吸附等溫線
如圖8 所示,隨著反應溫度的升高,氮炭化核桃殼對吸附質(Cr(Ⅵ))的吸附量也在逐漸增加,且吸附等溫類型屬于I 型。當溫度為298 K、308 K 和318 K 時,其比較大吸附量依次為8. 751 mg·g - 1 、8. 963 mg·g - 1 和9. 151 mg·g - 1 。將實驗所得數據進行等溫模型擬合,其結果如表1 所示。
從表1 中可知,相比較于Freundlich 等溫模型,Langmuir 等溫模型較能夠更好地擬合在各溫度下氮炭化核桃殼對Cr(Ⅵ)的吸附過程,這說明吸附劑表面的吸附位點分布均勻,吸附過程屬于單分子層吸附,由化學吸附所控制。


表1 吸附等溫模型

表2 吸附動力學模型
2. 8 吸附動力學
圖9 為25 ℃ 時吸附劑對吸附質的吸附動力學曲線,從圖中可知,隨著吸附時間的不斷增加,吸附量也隨之增加。在前60 min 內,吸附量增長速率較快,之后雖然速率也在不斷增長,但相對的較緩慢,吸附180 min后基本達到平衡。將所得到的實驗數據分別進行擬一級動力學方程、擬二級動力學方程、顆粒內擴散方程和葉洛維奇動力學方程擬合,其結果如表2 所示。
從表2 中可以得出,擬二級動力學方程的擬合效果比較好,擬合系數為0. 988 9。擬二級動力學模型包含了吸附的所有過程,如表面吸附、顆粒內部擴散和外部液膜擴散 ,能夠更為真實地反映出Cr(Ⅵ)離子在氮炭化核桃殼上的吸附行為。MCKAY 等 認為,當顆粒內擴散方程中qt 與t0. 5 呈現良好的線性關系且通過原點時,則說明吸附質在顆粒內擴散過程為吸附速率的唯一控制步驟。根據表2 中顆粒內擴散方程可以看出,其擬合曲線并不過原點,可知顆粒內擴散過程是該吸附速率的控制步驟,但不是唯一的速率控制步驟。而擬一級動力學方程和葉洛維奇動力學方程只是基于某種吸附過程推導得出來的,并不能夠完全地表示Cr(Ⅵ)離子在氮炭化核桃殼上的吸附行為。具體參見污水寶商城資料或http://www.dowater.com更多相關技術文檔。
3 結論
1)在實驗過程中,pH 值是影響氮炭化核桃殼對吸附質(Cr(Ⅵ))的決定性因素之一,會影響Cr(Ⅵ)在溶液中的存在形態和吸附劑表面的活性基團的存在狀態。
2)吸附過程的比較佳條件為:pH 值為2. 0、氮炭化核桃殼用量為16 g·L - 1 、溫度為25 ℃ 、轉速為200 r·min - 1 、吸附時間為180 min;Cr(Ⅵ)的去除率高達99. 1% ,飽和吸附容量為8. 751 mg·g - 1 ,R2 為0. 995 5,且出水濃度為0. 18 mg·L - 1 ,符合《污水綜合排放標準》所允許的排放限值。
3)氮炭化核桃殼對Cr(Ⅵ)的吸附等溫線擬合結果更符合Langmuir 吸附等溫線模型,擬二級動力學模型能夠更為真實地反映出Cr(Ⅵ)離子在氮炭化核桃殼上的吸附行為,顆粒內擴散過程是該吸附速率的控制步驟,但不是唯一的速率控制步驟。

污水處理設備聯系方式:
銷售熱線:010-8022-5898
手機號碼:186-1009-4262





